В предыдущей статье рассмотрен метод определения критической скорости автомобиля при движении им по дугообразной траектории по критерию сноса. Но, по классике, если один автомобиль движется по дуге, то второй, как правило, совершает прямолинейное движение. В этой статье предлагаю рассмотреть метод установления начальной скорости, движущегося прямолинейно, автомобиля.
Основой для рассматриваемого метода послужит Схема места ДТП, с отражением на ней конечного положения автомобилей и места столкновения. Отмечу, что мы не вдаемся в оценку данных, отраженных на схеме, и принимаем их как условно достоверными.

Шаг 1: Масштабирование и определение расстояний
Исходными данными для исследования скорости является установление параметров удаления конечного положения автомобилей от места столкновения. Для этого преобразовываем Схему места ДТП в масштабную схему. Данная работа позволит не только достоверно установить линейные параметры, но и восполнить недостающие в схеме размеры или наоборот, установить факт недостаточности размеров на схеме, для достоверного установления конечного положения. Если размеры, отраженные на Схеме, позволяют установить данное удаление ТС, этап масштабирования можно упустить.

Далее устанавливаем параметры удаления ТС от места столкновения в значении: красного автомобиля — 12,5 метров; синего — 19,0 метров. Обращаю внимание, что расстояния определены относительно центров масс ТС, т.к. в фазе разлета автомобили претерпевали заносы, при котором поступательное перемещение сопровождалось вращательным движением относительно вертикальной оси.

Шаг 2: Расчёт скорости после удара через работу сил трения
Что представляет собой удаление автомобилей от места столкновения? Это совершенная ими работа перемещения по преодолению сил трения от места столкновения к конечному положению. Определим скорости автомобилей после столкновения через работу сил трения по формуле:

Подставляя значения в формулу получаем:

Шаг 3: Учёт потерь энергии при ударе
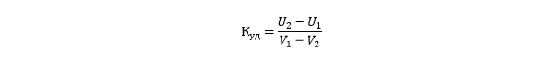
Потеря энергии при ударе оценивается через коэф. восстановления Куд представляющего собой отношение относительных скоростей тел перед ударом (V) и после него (U) *

* Глава 7, § 29 «Основные положения теории удара» [Илларионов В.А. Экспертиза дорожно-транспортных происшествий. – М.: Транспорт, 1989]
В рассматриваемом примере поперечного столкновения проекция вектора скорости движения синего автомобиля на вектор скорости красного автомобиля ничтожно мало (стремиться к нулю), а следовательно V2 принимаем 0 м/с.

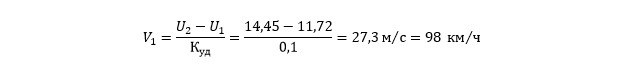
Следуя теории удара *, при относительной скорости соударяющихся автомобилей ∆U <8,3м/с, коэффициент восстановления составляет 0,7, а при скорости ∆U >15 м/с — 0,1. Из формулы расчета коэффициента восстановления выводим параметр начальной скорости V1 красного автомобиля при начальной скорости синего автомобиля V2=0 м/с, Куд= 0,1

Что это даёт на практике?
Как видим, представленный метод установления начальной скорости автомобиля не сложен и в основе мы использовали только Схему места ДТП, из которой установили параметры удаления конечного положения ТС от места столкновения.
Одним из допущений использования данного метода является фактор перемещения ТС к конечному положению путем юза/заноса. Если достижение конечного положения автомобиля достигнуто путем его свободного качения, то при расчете скорости U следует принимать значение коэф. сцепления при свободном качении колес автомобиля в значении 0,02.
Этот расчёт — не замена полноценной экспертизы, но понятный и наглядный инструмент для первичной оценки в 3 шага, помогающий:
- понять физику процесса;
- оценить порядок скоростей;
- решить, есть ли смысл оспаривать выводы о скорости в ДТП.
Иногда простая физика может стать сильным аргументом в споре.
Ваши голоса очень важны и позволяют выявлять действительно полезные материалы, интересные широкому кругу профессионалов. При этом бесполезные или откровенно рекламные тексты будут скрываться от посетителей и поисковых систем (Яндекс, Google и т.п.).
Уважаемый Илья Александрович, хорошо, что хоть в делах о ДТП есть инструменты для предварительной оценки перспектив.
В работе часто приходится сталкиваться с заключениями экспертов по тем или иным вопросам. Каждый раз возникает необходимость оценки перспектив сопротивления, а также проблема — исчезающе мало специалистов могут сказать о целесообразности работы по делу, из-за чего приходится делать так называемые рецензии с надеждой на назначение повторной экспертизы. Это словно лотерея, при чём недешёвая.
Уважаемый Иван Анатольевич, из своей практики могу сказать, что в 90% случаях на стадии консультации при анализе материалов проявляются моменты, которые либо не учтены, либо с неправильной трактовкой, либо с грубыми ошибками в расчетах и т.д. и т.п. которые существенно оказывают влияние на выводы. Выявленные моменты не только проговариваются заказчику, но и к каким выводом они приведут. И вот здесь дело за стороной защиты — оценка перспектив и целесообразности проведения исследования, эксперт дает только техническую оценку обстоятельствам! Обращайтесь, постараемся разобрать по кирпичикам любое дело (handshake) Каждый раз возникает необходимость оценки перспектив сопротивления, а также проблема — исчезающе мало специалистов могут сказать о целесообразности работы по делу
● Арбитраж. Банкротство. ФАС. Юридическое сопровождение вашего бизнеса.
● Юрист по ВЭД. Споры с ФТС. Международное право.
Защита по сложным уголовным экономическим делам.
Борьба с фальсификациями и незаконными методами расследования. Опыт, надёжность, добросовестность!
В рамках адвокатской деятельности оказываю юр. помощь по многим вопросам.
Являюсь также профессиональным медиатором.
Дорого, но зато качественно. Все встречи и консультации, в т.ч. дистанционные только по предварительной записи.


Этот расчёт — не замена полноценной экспертизы, но понятный и наглядный инструмент для первичной оценки в 3 шагаУважаемый Илья Александрович, да, пожалй иногда полезно быстро определить целесообразность оспаривания результатов экспертизы и погружения в более сложные исследования, по крайней мере предложенный метод оценки ситуации, уже даёт достаточно оснований для принятия решения о дальнейших действиях.
Уважаемый Иван Николаевич, благодарю за оценку (handshake). Вы правильно отметили суть, это не панацея, но способ подхода к оценке дорожной ситуации.
Уважаемый Илья Александрович, да, иногда хватает простого ориентира, а не сложного (и дорого) экспертного заключения :)